电气技术

 

电气技术

  • 停车场系统中地感线圈的作用

    在停车场系统中,要确定地感线圈的作用首先我们得知道地感线圈安装的位置,地感线圈一般装在以下四个位置: 1、入口票箱处(入口控制机); 2、入出口道闸处各一个; 3、出口票箱...

    阅读更多
  • 电流互感器常见故障的检测和处理措施

    1.出现异常声音或铁芯过热的处理。在电流互感器运作过程中,如果出现二次回路开路或过负荷等问题,则会产生异常声音或者铁芯严重过热现象。假如没有均匀涂刷半导体漆面,也容...

    阅读更多
  • 三种常见整流电路的基本介绍

    1: 整流电路的分类 电源电路中的整流电路主要有半波整流电路、全波整流电路和桥式整流三种,倍压整流电路用于其它交流信号的整流,例如用于发光二极管电平指示器电路中,对音...

    阅读更多
  • 电气设备维修人员快速查找故障的步骤和方法

    电气设备维修是企业设备管理的重点,各种电气设备在运行中都有可能发生各种大大小小的故障,严重的还会引起事故。电气设备出了故障,只要查清了故障点和故障原因,维修起来其...

    阅读更多
  • 模拟电路与数字电路的定义及特点

    电气技术 模拟电路与数字电路的定义及特点

    模拟信号 处理模拟信号的电子电路。“模拟”二字主要指电压(或电流)对于真实信号成比例的再现。 1、函数的取值为无限多个; 2、当图像信息和声音信息改变时,信号的波形也改变,...

    阅读更多
  • 电机能效评测方法

    电机能效评测主要参照或引用GB/T1032三相异步电动机试验方法及GB/T22669三相永磁同步电动机试验方法试验标准办法,能效试验主要有以下几种标准方法: ◆ A法——输入-输出法 ◆ B法—...

    阅读更多
  • 如何实现模拟电路和数字电路的功能

    电气技术 如何实现模拟电路和数字电路的功能

    模拟电路和数字电路它们同样是信号变化的载体,模拟电路在电路中对信号的放大和削减是通过元器件的放大特性来实现操作的,而数字电路是对信号的传输是通过开关特性来实现操作...

    阅读更多
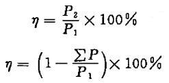
  • 永磁同步电机能效试验方法

    电气技术 永磁同步电机能效试验方法

    效率是以同一单位表示的输出功率与输入功率之比,通常以百分比表示。输出功率等于输入功率减去总损耗,若已知三个变量(输入,总损耗或输出)中的两个,就可以用下式1或式2求取效...

    阅读更多
  • 产生零点漂移的原因及解决措施

    产生 零点漂移 的原因很多,任何元件参数的变化(包括电压源电压的波动),都将造成输出电压漂移。实践证明,温度变化是产生 零点漂移 的主要原因,也是最难克服的因素,这是由于...

    阅读更多
  • 电机工作原理动态图解

    电气技术 电机工作原理动态图解

    通过直观的电机动图,来了解各电机的工作原理! 电机(俗称“马达”)是指依据电磁感应定律和电磁力定律实现机电能量转换和信号传递与转换的装置。它的主要作用是产生驱动转矩...

    阅读更多