您现在的位置是:首页 > 电气技术 > 电气技术

如何设定plc定时时间

来源:艾特贸易2017-08-25

简介S7中定时时间由时基和定时值组成,定时时间为时基和定时时间设定值的乘积。时基也称为定时器的计时单位,是定时器可以控制的最高精度(时间间隔)。定时时间也称为计时范围,

    S7中定时时间由时基和定时值组成,定时时间为时基和定时时间设定值的乘积。时基也称为定时器的计时单位,是定时器可以控制的最高精度(时间间隔)。定时时间也称为计时范围,是定时器的有效控制时间。

    在定时器开始工作后,定时值不断递减,递减到零时,表示时间已到,定时器会有相应的动作。

    所谓的时基是时间基准的简称。定时时间设值是以3位BCD码格式存放,位于定时器字的第0~11位。使用范围是0~999。表给出时基与相应的定时范围。

    表   时基与相应的定时范围

时基与相应的定时范围

    定时时间有两种表达方式:

    ①十六进制数。定时器使用的时间值为BCD码,给定时器赋值可以带有时基格式。

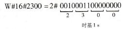
    格式为:W#16# wxyz。其中,w是时间基准,xyz是BCD码格式的时间值。设定值范围为1~999。这里,时基越小,则分辨率越高;时基越大,则分辨率越低,但定时时间越长。例如,

表示时基为1s,定时时间为300×1 s的定时时间值,即300 s =5 min。

    ②S5时间格式。也可以直接使用S5中的时间表示装入时间设定值,其格式为:

    S5T#aH_bM_cS_dMS

其中,a表示小时,b表示分钟,c表示秒,d表示毫秒。定时范围为1MS~2H~46M~30S(1 ms~9990 s)。例如,S5T# 1H_13M_8S表示时间为1 h13 min8 s。这里时基是由CPU自行选定的,原则是在满足定时范围的要求下,时基单位根据设定时间值自动选择满足定时范围的最小时基。

    ③设定时间的装载。S7-300/400的定时时间设定需要通过S7的装载指令L进行。可以用两种方法设定时间与选择时间单位。允许设定的最大时间值为9990 s(2小时46分30秒)